
«Вельвет-2021» — слёт фанатов экстримкарвинга — 7-13 февраля 2021 года
Модераторы: ben, Rey, Yura Z, Dron
Правила форума
Данный форум создан для обмена информацией о событиях в мире жёсткого сноуборда и слаломного скейта.
Velvet.pro - не казарма, здесь приветствуется информативный и доброжелательный стиль общения.
В топиках, посвящённых технике катания, необходимо придерживаться темы обсуждения.
Сообщения не по теме(оффтопы) будут выноситься в отдельные темы, а флуд, хамство и переходы на личности будут нещадно выпиливаться.
Мы не хотим видеть в подписях ссылки на коммерческие сайты.
Уважайте себя и своих собеседников, и относитесь к новичкам немного терпимее!
Спасибо за внимание!
Ваша администрация :)
Данный форум создан для обмена информацией о событиях в мире жёсткого сноуборда и слаломного скейта.
Velvet.pro - не казарма, здесь приветствуется информативный и доброжелательный стиль общения.
В топиках, посвящённых технике катания, необходимо придерживаться темы обсуждения.
Сообщения не по теме(оффтопы) будут выноситься в отдельные темы, а флуд, хамство и переходы на личности будут нещадно выпиливаться.
Мы не хотим видеть в подписях ссылки на коммерческие сайты.
Уважайте себя и своих собеседников, и относитесь к новичкам немного терпимее!
Спасибо за внимание!
Ваша администрация :)
- gdv1969
- Сообщения: 1671
- Зарегистрирован: 16 мар 2011, 16:40
- Откуда: Пермь
- Контактная информация:
-
Borisovich
- Сообщения: 6
- Зарегистрирован: 06 фев 2018, 09:08
- Откуда: Penza
Re: «Вельвет-2021» — слёт фанатов экстримкарвинга — 7-13 февраля 2021 года
Написал в воскресенье на почту, пока никто не ответил. В список ожидания обязательно запишусь. Спасибо.
-
Gryphon
Re: «Вельвет-2021» — слёт фанатов экстримкарвинга — 7-13 февраля 2021 года
Каждый год, ближе к мероприятию, народ отказывается и пытается реализовать свои места. И как правило, не находят желающих. Сам тоже так попадал, когда вдруг не получается ехать, так что не отчаивайтесь.
На автерпати кстати тоже хорошо :-)
На автерпати кстати тоже хорошо :-)
-
Kabeerka
- Сообщения: 2
- Зарегистрирован: 19 дек 2018, 09:24
- Откуда: Moscow
Re: «Вельвет-2021» — слёт фанатов экстримкарвинга — 7-13 февраля 2021 года
В этом году менеджер работает вообще на отЪебись. Обратная связь нулевая, ответа приходится ждать неделями. Хотел ещё на препати записаться на декабрь, но с таким отношением хочется чтобы хотябы на основном ивенте всё было бы хорошо
- Yura Z
- Сообщения: 1920
- Зарегистрирован: 04 мар 2011, 19:08
- Откуда: Москва
Re: «Вельвет-2021» — слёт фанатов экстримкарвинга — 7-13 февраля 2021 года
Пожалуйста, не принимайте так близко к сердцу - это всего лишь оформление.
На ивентах всё хорошо, мы сами создаём там атмосферу.
На ивентах всё хорошо, мы сами создаём там атмосферу.
- Квентин
- Сообщения: 182
- Зарегистрирован: 18 окт 2013, 12:29
- Откуда: Санкт-Петербург
- Контактная информация:
Re: «Вельвет-2021» — слёт фанатов экстримкарвинга — 7-13 февраля 2021 года
Пришло письмо что на основной мест нет, но есть места на афтепати )
-
Данил
- Сообщения: 47
- Зарегистрирован: 04 окт 2013, 10:46
- Откуда: Новосиьирск
Re: «Вельвет-2021» — слёт фанатов экстримкарвинга — 7-13 февраля 2021 года
Кто и как из Новосибирска планирует добираться на основное пати? (7-13 февраля 2021 года)
-
Demasso
- Сообщения: 174
- Зарегистрирован: 23 фев 2013, 20:29
- Откуда: Москва
- Контактная информация:
Re: «Вельвет-2021» — слёт фанатов экстримкарвинга — 7-13 февраля 2021 года
Нам пришло от с7 спецпредложение на билеты и мы взяли за 5000 рублей туда/обратно на человека
-
Surik
- Сообщения: 78
- Зарегистрирован: 02 ноя 2012, 08:05
- Откуда: Москва
Re: «Вельвет-2021» — слёт фанатов экстримкарвинга — 7-13 февраля 2021 года
Всем привет. Если кто то не сможет полететь на вельвет, то 1 желающий есть ( напишите мне тогда) спасибо
-
Demasso
- Сообщения: 174
- Зарегистрирован: 23 фев 2013, 20:29
- Откуда: Москва
- Контактная информация:
Re: «Вельвет-2021» — слёт фанатов экстримкарвинга — 7-13 февраля 2021 года
Кто нибудь уже думал про трансфер?
- Sheff_serg
- Сообщения: 75
- Зарегистрирован: 01 мар 2017, 08:52
- Откуда: Углич
Re: «Вельвет-2021» — слёт фанатов экстримкарвинга — 7-13 февраля 2021 года
У Ред Вингс сейчас оч дешёвые билеты) Налетай, кто не купил!
-
Demasso
- Сообщения: 174
- Зарегистрирован: 23 фев 2013, 20:29
- Откуда: Москва
- Контактная информация:
Re: «Вельвет-2021» — слёт фанатов экстримкарвинга — 7-13 февраля 2021 года
а что? так никто и не надумал про трансфер?
-
Demasso
- Сообщения: 174
- Зарегистрирован: 23 фев 2013, 20:29
- Откуда: Москва
- Контактная информация:
Re: «Вельвет-2021» — слёт фанатов экстримкарвинга — 7-13 февраля 2021 года
мы летим из Домодедово S7
прилетаем 7-го в 4:15 в Екат
прилетаем 7-го в 4:15 в Екат
-
Surik
- Сообщения: 78
- Зарегистрирован: 02 ноя 2012, 08:05
- Откуда: Москва
Re: «Вельвет-2021» — слёт фанатов экстримкарвинга — 7-13 февраля 2021 года
Я лечу из Шереметьево и прилечу в 4,50( хочу компанию на трансфер)
- Yura Z
- Сообщения: 1920
- Зарегистрирован: 04 мар 2011, 19:08
- Откуда: Москва
Re: «Вельвет-2021» — слёт фанатов экстримкарвинга — 7-13 февраля 2021 года
Да, прилетающим
Москва — Екатеринбург
7 февраля 2021 г., воскресенье
00:25 SVOB - SVX 04:55
SU 1408
тема по трасферу: viewtopic.php?f=31&t=10287
Москва — Екатеринбург
7 февраля 2021 г., воскресенье
00:25 SVOB - SVX 04:55
SU 1408
тема по трасферу: viewtopic.php?f=31&t=10287
- firekola
- Сообщения: 21
- Зарегистрирован: 16 окт 2012, 10:36
- Откуда: Красноярск
Re: «Вельвет-2021» — слёт фанатов экстримкарвинга — 7-13 февраля 2021 года
Всех приветствую!
Не могу поехать, у меня 2 места в двухместном номере, кто желает поехать?)
8902923793семь
Не могу поехать, у меня 2 места в двухместном номере, кто желает поехать?)
8902923793семь
- Delerium
- Сообщения: 538
- Зарегистрирован: 01 ноя 2013, 12:02
- Откуда: Екатеринбург
Re: «Вельвет-2021» — слёт фанатов экстримкарвинга — 7-13 февраля 2021 года
Всем добрый день!
Можно ли публиковать новости Вельвета-2021? Все таки интересно что как. Какие мероприятия и события. Воспользовался сегодня возможностью приехать, покататься, посмотреть людей, поговорить, но увы, остаться не могу. В следующее воскресенье планирую быть со своей командой единомышленников. Всем удачи и держитесь, погода февральская.
Можно ли публиковать новости Вельвета-2021? Все таки интересно что как. Какие мероприятия и события. Воспользовался сегодня возможностью приехать, покататься, посмотреть людей, поговорить, но увы, остаться не могу. В следующее воскресенье планирую быть со своей командой единомышленников. Всем удачи и держитесь, погода февральская.
- Yura Z
- Сообщения: 1920
- Зарегистрирован: 04 мар 2011, 19:08
- Откуда: Москва
Re: «Вельвет-2021» — слёт фанатов экстримкарвинга — 7-13 февраля 2021 года
По новостям - смотрите соц. сети.
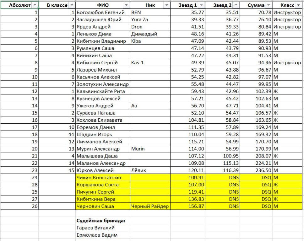
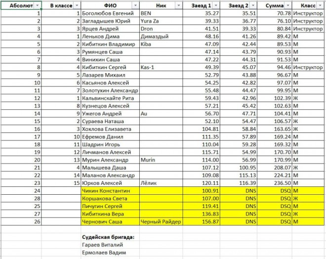
Завтра в 12 соревнования по Экстримслалому, кстати.
Завтра в 12 соревнования по Экстримслалому, кстати.
- Yura Z
- Сообщения: 1920
- Зарегистрирован: 04 мар 2011, 19:08
- Откуда: Москва
- Yura Z
- Сообщения: 1920
- Зарегистрирован: 04 мар 2011, 19:08
- Откуда: Москва
Re: «Вельвет-2021» — слёт фанатов экстримкарвинга — 7-13 февраля 2021 года
Провели соревнования по Extremeslalom! 