Хроника самообучения на "жёстком".

динамичные беседы обо всём на свете

Модераторы: ben, Rey, Yura Z, Dron

Правила форума
Данный форум создан для обмена информацией о событиях в мире жёсткого сноуборда и слаломного скейта.
Velvet.pro - не казарма, здесь приветствуется информативный и доброжелательный стиль общения.
В топиках, посвящённых технике катания, необходимо придерживаться темы обсуждения.
Сообщения не по теме(оффтопы) будут выноситься в отдельные темы, а флуд, хамство и переходы на личности будут нещадно выпиливаться.
Мы не хотим видеть в подписях ссылки на коммерческие сайты.
Уважайте себя и своих собеседников, и относитесь к новичкам немного терпимее!

Спасибо за внимание!
Ваша администрация :)
Ответить
лом
Сообщения: 397
Зарегистрирован: 09 май 2015, 15:38
Откуда: новоуральск

Re: Хроника самообучения на "жёстком".

Сообщение лом »

А спорите-то о чем?
Продольая работа на выполаживании реально ускоряет доск- мой личный пусть и небольшой опыт в трассе,да и мастера этому же учат.
Плечами и корпусом хошь крути,хошь не крути,я лично стараюсь лишние движения убирать,просто потому что они лишние😀
Аватара пользователя
Alex3m
Сообщения: 1175
Зарегистрирован: 01 мар 2017, 20:21
Откуда: Северодвинск

Re: Хроника самообучения на "жёстком".

Сообщение Alex3m »

rst писал(а): 09 дек 2021, 00:50 Свешников, мне почему-то кажется что ты когда доску по ковру проталкиваешь, ты ее разгружаешь (т.е. подрыгиваешь чуть чуть) а когда тушку переносишь вперёд то стоишь на доске всем весом
Вот только в повороте это не работает, так как при движении вперед и назад по доске давление будет почти одинаковым.
кроме того, доля сопротивления трения в общем сопортивлении движению в повороте- несколько процентов.
А описываемое движение имеет эффективность несколько процентов от этих процентов.
То есть, в лучшем случае этот эффект ни вычислить, ни замерить нельзя.
Аватара пользователя
Alex3m
Сообщения: 1175
Зарегистрирован: 01 мар 2017, 20:21
Откуда: Северодвинск

Re: Хроника самообучения на "жёстком".

Сообщение Alex3m »

лом писал(а): 09 дек 2021, 11:49 А спорите-то о чем?
Продольая работа на выполаживании реально ускоряет доск- мой личный пусть и небольшой опыт в трассе,да и мастера этому же учат.
Плечами и корпусом хошь крути,хошь не крути,я лично стараюсь лишние движения убирать,просто потому что они лишние😀
А зачем ускорять доск, если при этом тушка замедляется?
Аватара пользователя
Alex3m
Сообщения: 1175
Зарегистрирован: 01 мар 2017, 20:21
Откуда: Северодвинск

Re: Хроника самообучения на "жёстком".

Сообщение Alex3m »

Да, странно обсуждать физику поворота с человеком, считающим, что "эффективнее всего ехать вниз по прямой"
, и у которого доска после загрузки почему то начинает разгружаться :)
Аватара пользователя
SveshnickoFF
Сообщения: 7553
Зарегистрирован: 17 мар 2011, 15:25
Откуда: Москва-Железнодорожный

Re: Хроника самообучения на "жёстком".

Сообщение SveshnickoFF »

лом писал(а): 09 дек 2021, 11:49 А спорите-то о чем?
Продольая работа на выполаживании реально ускоряет доск- мой личный пусть и небольшой опыт в трассе,да и мастера этому же учат.
Плечами и корпусом хошь крути,хошь не крути,я лично стараюсь лишние движения убирать,просто потому что они лишние😀
Я пытался выяснить, откуда появилось утверждение, что продольная работа не ускоряет

Снял видео с демонстрацией того, как продольная работа помогает передвигаться в условиях, когда без неё не передвинешься)

Но ответа, что движет меня и доску, так и не получил, хотя механика ровно такая же, как и в повороте))))

Потом стало совсем неинтересно, и я оставил Alex3М жить в мире собственной физики, вертикальной работы и езды исключительно поворотами)
Аватара пользователя
Alex3m
Сообщения: 1175
Зарегистрирован: 01 мар 2017, 20:21
Откуда: Северодвинск

Re: Хроника самообучения на "жёстком".

Сообщение Alex3m »

Дружище, это у тебя собственная физика езды по прямой с отталкиванием от склона неподготовленной доской.
Может, кому то это и интересно.
Если у тебя физика на плоском и в повороте одинаковая, то ты про нее просто слышал где-то :)
Кстати, а сколько в аттестате то стоит по физике?
Аватара пользователя
au
Сообщения: 10902
Зарегистрирован: 04 мар 2011, 16:45
Откуда: Первопрестольная
Контактная информация:

Re: Хроника самообучения на "жёстком".

Сообщение au »

Alex3m писал(а): 09 дек 2021, 13:16 Дружище, это у тебя собственная физика езды по прямой с отталкиванием от склона неподготовленной доской.
Если бы сила трения скольжения была незначительной, мы бы не ощущали потери скорости на одном и том же склоне в разных его состояниях (в безветренную погоду).
На деле - разница существенная: иногда несёт, а в другой день - на месте останавливаешься.
Аватара пользователя
SveshnickoFF
Сообщения: 7553
Зарегистрирован: 17 мар 2011, 15:25
Откуда: Москва-Железнодорожный

Re: Хроника самообучения на "жёстком".

Сообщение SveshnickoFF »

Да этот пример в видео просто для демонстрации общего принципа ускорения, и попытка сказать оппонента что-либо про продольную работу

Создание опоры (если нет), отталкивание от неё в нужную сторону, подтягивание опоры или создание её, снова отталкивание и тд

Безопорное движение - только отбрасыванием массы, оно же реактивное

То есть если сила трения большая, можно использовать её так, как на видео, можно в кант как в опору упираться, но если сила трения маленькая, все равно эффективнее с точки зрения энергозатрат ехать по лпс, чтобы ускорение обеспечивала гравитация, ну при наличии какого-то уклона канеш

Поэтому в тех спорт дисциплинах, где есть возможность ехать прямо - все и едут прямо)))

Так быстрее

При этом вертикальный памп никто не запрещает, ну как в бордкроссе или на памп треке

Где нет возможности ехать прямо - ускоряют я в поворотах

А принцип все равно общий
Аватара пользователя
Alex3m
Сообщения: 1175
Зарегистрирован: 01 мар 2017, 20:21
Откуда: Северодвинск

Re: Хроника самообучения на "жёстком".

Сообщение Alex3m »

au писал(а): 09 дек 2021, 14:16
Alex3m писал(а): 09 дек 2021, 13:16 Дружище, это у тебя собственная физика езды по прямой с отталкиванием от склона неподготовленной доской.
Если бы сила трения скольжения была незначительной, мы бы не ощущали потери скорости на одном и том же склоне в разных его состояниях (в безветренную погоду).
На деле - разница существенная: иногда несёт, а в другой день - на месте останавливаешься.
Вклад трения скольжения в общем сопротивлении на канте - несколько процентов.
Большая часть потерь уходит на вырезание канавы в снегу.
Если склон очень жёсткий, почти лёд - на срезание кантом неровностей на нем.
Есть работа, в которой эти потери посчитаны и сходятся с практикой.
Аватара пользователя
Alex3m
Сообщения: 1175
Зарегистрирован: 01 мар 2017, 20:21
Откуда: Северодвинск

Re: Хроника самообучения на "жёстком".

Сообщение Alex3m »

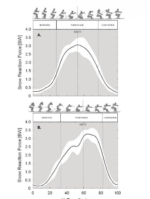
Кстати, вот график давления на лыжи в повороте,с разгрузкой вниз и загрузкой вверх, по трассе с воротами через 11 и 13 метров
Видно ,что давление в фазе загрузки минимум не больше, чем в фазе разгрузки.
sn-react.jpg
То есть, движение лыжи назад - вперед в повороте не создает ускорения ЦМ, и просто бессмысленно.
Чем можете опровергнуть, кроме собственных ничем не обоснованных предположений?
rst
Сообщения: 37
Зарегистрирован: 08 сен 2021, 00:41
Откуда: ...

Re: Хроника самообучения на "жёстком".

Сообщение rst »

SveshnickoFF писал(а): 09 дек 2021, 13:04
лом писал(а): 09 дек 2021, 11:49 А спорите-то о чем?
Продольая работа на выполаживании реально ускоряет доск- мой личный пусть и небольшой опыт в трассе,да и мастера этому же учат.
Плечами и корпусом хошь крути,хошь не крути,я лично стараюсь лишние движения убирать,просто потому что они лишние😀
Я пытался выяснить, откуда появилось утверждение, что продольная работа не ускоряет

Снял видео с демонстрацией того, как продольная работа помогает передвигаться в условиях, когда без неё не передвинешься)

Но ответа, что движет меня и доску, так и не получил, хотя механика ровно такая же, как и в повороте))))

Потом стало совсем неинтересно, и я оставил Alex3М жить в мире собственной физики, вертикальной работы и езды исключительно поворотами)
Прокат доски под собой это технический элемент который позволяет разместить тушку над доской в нужном месте соответвенно фазе поворота

И кмк это совсем не способ разгона доски

ЗЫ
Можно ротациями разгонять... Можно ногами толкать ...

Но прокатывание доски под райдером кмк имеет другую цель
Аватара пользователя
SveshnickoFF
Сообщения: 7553
Зарегистрирован: 17 мар 2011, 15:25
Откуда: Москва-Железнодорожный

Re: Хроника самообучения на "жёстком".

Сообщение SveshnickoFF »

Аналогия.

Ты стоишь. Ты сделал один шаг. Стоишь, одна нога впереди, другая сзади. Протаскивание разгруженной задней ноги под собой не является способом разгона тебя?

Ну вроде нет.

Но если ты её не протащишь под себя, ты не сможешь прийти в пункт 1, стоя, но на полшага вперёд. А если про тащишь и приставишь к передней, будешь на шаг вперёд.

Идем дальше. Протаскивая разгруженную заднюю ногу вперёд под себя, можешь ли ты не поставить её рядом ко второй, а выбросить вперёд сразу и сделать ещё один шаг (она при этом станет передней)?

Можешь. Не сразу, нужно научиться, но можешь. Теперь ты можешь шагать не дискретно через положение стоя на двух ногах рядом, одной ногой делая шаг и приставляя её ко второй, а непрерывно, протаскивая разгруженную заднюю ногу под собой и выбрасывая её вперед, делая передней.

Является ли это протаскивание разгоном? Вроде нет.

Разгоном является падение вперёд с опоры и обретение новой опоры в другом месте, которое впереди. И подтягивания себя на эту опору силой мышц или по инерции. Протаскивание задней ноги под себя и вперёд является лишь способом обретения опоры в будущем, ведь у тебя уже есть опора в виде передней ноги.

Бег - это если падение заменить спрыгиванием с опоры, чтоб в воздухе тело висело какое-то время, пролетая без опоры по инерции. Вот тут на помощь приходит инерция, помогая выставлять переднюю ногу дальше и залетать на эту опору. Но и толкаться нужно сильнее, спрыгивая с опоры

Бег быстрее ходьбы. Потому что сильнее отталкивание от опоры и дальше улетает по инерции )

А протаскивание опоры в нужное место впереди по направлению движения под собой/вокруг себя/над собой/ через себя есть лишь необходимое условие для продолжения этого увлекательного процесса

Заметь, если встать ногами на лёд под уклоном и чтоб трение было маленькое - можно ваще никуда не падать и не спрыгивать. Стоишь на опоре и едешь. Все делает гравитация сама.

Если сесть на попу, то гораздо устойчивее, но может возрасти трение об склон.

Если лечь вообще спиной, то уменьшишь трение об атмосферу, но увеличишь скорее всего трение об склон ещё сильнее. Но зато не упадёшь, падать уже некуда.

Способов спуска с горы вниз много.

))))
Аватара пользователя
SveshnickoFF
Сообщения: 7553
Зарегистрирован: 17 мар 2011, 15:25
Откуда: Москва-Железнодорожный

Re: Хроника самообучения на "жёстком".

Сообщение SveshnickoFF »

Теперь продолжение. Если при этом смотреть на тело или цм бегуна, он условно непрерывно равномерно движется с какой-то скоростью. Если смотреть на опору-стопу, она движется в рваном ритме с остановкой и ускорением. Остановкой в момент загрузки - когда она опора, и ускорением при разгрузке и некоей ненулевой скоростью(которая больше скорости цм бегуна, тк обгоняет его) при протаскивании и выбрасывании вперёд

У сноуборда полной остановки нет, как у стопы, но ускорение доски происходит при разгрузке и протаскивании её вперёд, торможение при загрузке, когда она опора и от неё отталкивается райдер, а у цм райдера - при отталкивании от опоры происходит ускорение

Тут ещё отдача доски помогает, ну так и топовые беговые кроссовки пуляют всяким карбоном)

В общем, отдача в помощь. Как трамплин)
Аватара пользователя
Атомный Иван
Сообщения: 677
Зарегистрирован: 11 мар 2013, 12:26
Откуда: Владивосток

Re: Хроника самообучения на "жёстком".

Сообщение Атомный Иван »

Парни, куда так топите?
Аватара пользователя
Alex3m
Сообщения: 1175
Зарегистрирован: 01 мар 2017, 20:21
Откуда: Северодвинск

Re: Хроника самообучения на "жёстком".

Сообщение Alex3m »

Оригинал. Побегал бы по мокрому льду в кроссовках, и лучше - с карбоном, на которые полиэтиленовые пакеты надеты.
Я бы такое поучительное видео поглядел.
У всех в начале поворота происходит загрузка доски и увеличение давления, а у него - разгрузка и уменьшение давления.
Интересно, центробежная в повороте куда вдруг девается, почему не грузит доску.
Чтобы получить такую разгрузку, надо так хорошо оттолкнуться от доски, что продолжишь движение не на доске, а сначала в воздухе, а потом уже на пузе вниз головой по склону., если это фронт.
Аватара пользователя
Alex3m
Сообщения: 1175
Зарегистрирован: 01 мар 2017, 20:21
Откуда: Северодвинск

Re: Хроника самообучения на "жёстком".

Сообщение Alex3m »

Если лыжи не едут, то ими толкаются :-))
Аватара пользователя
SveshnickoFF
Сообщения: 7553
Зарегистрирован: 17 мар 2011, 15:25
Откуда: Москва-Железнодорожный

Re: Хроника самообучения на "жёстком".

Сообщение SveshnickoFF »

Атомный Иван писал(а): 09 дек 2021, 22:01 Парни, куда так топите?
Наш паровоз вперёд летит,)))

Скучно
Аватара пользователя
Атомный Иван
Сообщения: 677
Зарегистрирован: 11 мар 2013, 12:26
Откуда: Владивосток

Re: Хроника самообучения на "жёстком".

Сообщение Атомный Иван »

Вам надо брать скейт, учиться на нем ехать в горку и потом писать диссертацию на тему всех этих вот моментов)))
Аватара пользователя
SveshnickoFF
Сообщения: 7553
Зарегистрирован: 17 мар 2011, 15:25
Откуда: Москва-Железнодорожный

Re: Хроника самообучения на "жёстком".

Сообщение SveshnickoFF »

Я умею.

С горки на скейте веселее кстати
Аватара пользователя
ben
Сообщения: 3278
Зарегистрирован: 04 мар 2011, 17:45
Откуда: Екатеринбург
Контактная информация:

Re: Хроника самообучения на "жёстком".

Сообщение ben »

как же я соскучился по этому всему :laugh1:
Ответить

Вернуться в «Лё Паб»